• 头条江苏大学赵文祥团队:磁场调制永磁直线电机的高功率因数弱磁控制
    2021-05-27 作者:宋鑫鑫 赵文祥 成瑀  |  来源:《电工技术学报》  |  点击率:
    分享到:
    导语本文提出了基于飞跨电容拓扑的高功率因数弱磁控制策略。结合电机低功率因数的特点,通过功率解耦理论,解耦电机运行所需有功功率、无功功率,并将无功功率分配给电容逆变器,使主逆变器运行于单位功率因数。结合反馈弱磁控制拓宽控制系统调速范围。通过实验验证了所提控制策略的有效性。

    团队介绍

    江苏大学赵文祥团队:磁场调制永磁直线电机的高功率因数弱磁控制

     

    赵文祥,博士、教授、博士生导师,国家杰青。主持国家自然基金重大项目课题、国家科技重大专项等20余项科研项目。获国家技术发明二等奖、军队科技进步一等奖、教育部自然科学一等奖、IET Premium Awards等奖项。曾赴香港大学、英国谢菲尔德大学学习。第一/通讯作者发表SCI一区期刊论文40余篇,第一发明人授权发明专利20余件。

     

    本文提出了基于飞跨电容拓扑的高功率因数弱磁控制策略。结合电机低功率因数的特点,通过功率解耦理论,解耦电机运行所需有功功率、无功功率,并将无功功率分配给电容逆变器,使主逆变器运行于单位功率因数。结合反馈弱磁控制拓宽控制系统调速范围。通过实验验证了所提控制策略的有效性。

     

    研究背景

    磁场调制永磁直线(Field-Modulated Permanent Magnet Linear , FMPML)电机具有定子结构简单、力密度度高等优点,在轨道交通等长行程应用领域具有很好的应用前景。但是,该类电机存在低功率因数的缺点。为此,提出了基于飞跨电容开绕组拓扑的控制策略,可有效提升电机系统的运行性能。在此基础上,研究了弱磁控制以拓宽电机的调速范围。

    江苏大学赵文祥团队:磁场调制永磁直线电机的高功率因数弱磁控制

     

    论文方法及创新点

    本文在飞跨电容开绕组拓扑的基础上,引入弱磁控制,图1为基于飞跨电容开绕组拓扑的高功率因数弱磁控制框图。

    江苏大学赵文祥团队:磁场调制永磁直线电机的高功率因数弱磁控制

    图1 高功率因数弱磁控制侧

    图2为电压电流矢量相位关系图。其中,uactive为系统所需的有功电压分量,ureactive为系统所需的无功电压分量,Is为系统的电流矢量,qvi为uMI电压矢量与电流矢量Is的夹角,φ为功率因数角。系统稳定运行时,us和功率因数角均恒定,因此系统有功电压分量 uactive和无功电压分量 ureactive均恒定。uMI、uCI和 uactive之间的关系表示为:

    江苏大学赵文祥团队:磁场调制永磁直线电机的高功率因数弱磁控制

    图2 电压电流矢量相位关系图

    江苏大学赵文祥团队:磁场调制永磁直线电机的高功率因数弱磁控制

     

    由上可知,当qvi=0时,系统所需的有功电压分量完全由主逆变器承担,无功电压分量完全由电容逆变器承担,即:

    江苏大学赵文祥团队:磁场调制永磁直线电机的高功率因数弱磁控制

     

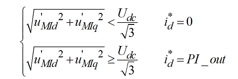
    弱磁控制是拓宽电机调速范围的有效手段,通过将弱磁控制与高功率因数理论相结合,可以在飞跨电容开绕组拓扑的基础上进一步拓宽电机的调速范围。具体实施手段为将主逆变器直流母线电压的根三分之一作为弱磁给定值以实现弱磁控制,弱磁电流的产生为:

    江苏大学赵文祥团队:磁场调制永磁直线电机的高功率因数弱磁控制

     

    其中,Udc为主逆变器母线电压;PI_out为弱磁PI调节器输出。

    实验结果表明,本文所提的控制策略可以有效的拓宽电机的调速范围。

    结论

    本文提出了一种用于飞跨电容开绕组拓扑的高功率因数弱磁控制策略。分析了高功率因数运行原理,并指出其可以有效的弥补FMPML电机低功率因数的缺点,降低了直流电源的无功压力。并且在此基础上引入反馈弱磁控制策略进一步扩展了电机控制系统的调速范围,同时通过实验验证了该控制策略的有效性和可行性。

    引用本文

    宋鑫鑫, 赵文祥, 成瑀. 开绕组磁场调制永磁直线电机的单位功率因数弱磁控制[J]. 电工技术学报, 2021, 36(5): 893-901. Song Xinxin, Zhao Wenxiang, Cheng Yu. Unity Power Factor Field Weakening Control of Field-Modulated Permanent Magnet Linear Modulation Motor with Open Winding. Transactions of China Electrotechnical Society, 2021, 36(5): 893-901.