• 头条中国电科院颜湘莲特稿:新型混合气体对局部不均匀电场的敏感特性
    2020-11-20 作者:颜湘莲, 郑宇, 黄河, 杨圆, 周文俊, 柏长宇  |  来源:《电工技术学报》  |  点击率:
    分享到:
    导语本文研究了SF6的替代气体C4F7N/CO2混合气体对局部不均匀电场的敏感特性,建立了考虑粗糙度影响时C4F7N/CO2的放电电压计算模型,开展气体放电试验对模型的有效性进行了检验;提出采用优异值评估C4F7N/CO2对不均匀电场的耐受能力,计算获得了C4F7N/CO2设备中电极粗糙度控制值与气体混合比例和气压的关系。

    团队介绍

    中国电科院颜湘莲特稿:新型混合气体对局部不均匀电场的敏感特性

     

    开关技术研究团队隶属于中国电力科学研究院高电压研究所,现有研究人员18人,其中博士6人,硕士10人;教授级高工2人,高级工程师8人。研究团队长期从事特高压开关技术攻关、新型开关设计研发、开关设备运行维护和专业管理等,研究成果已直接指导特高压GIS/GIL、串补用开关设备等产品研制,技术方案广泛应用于国网公司范围内的设备运行管理,取得了良好的经济和社会效益。

    中国电科院颜湘莲特稿:新型混合气体对局部不均匀电场的敏感特性

     

    颜湘莲,女,博士,教授级高工,国家电网公司优秀技术专家人才。长期从事SF6及其替代气体、高压开关设备研发和设备故障诊断技术研究。担任国家重点研发计划“环保型管道输电关键技术”(2017YFB0902500)项目联系人和课题5负责人,承担国家电网公司科技项目10余项,获得省部级科技奖励6项,发表SCI或EI检索论文30余篇,授权国家发明专利20余项。

    导语

    本文研究了SF6的替代气体C4F7N/CO2混合气体对局部不均匀电场的敏感特性,建立了考虑粗糙度影响时C4F7N/CO2的放电电压计算模型,开展气体放电试验对模型的有效性进行了检验;提出采用优异值评估C4F7N/CO2对不均匀电场的耐受能力,计算获得了C4F7N/CO2设备中电极粗糙度控制值与气体混合比例和气压的关系。

    研究背景

    C4F7N/CO2混合气体作为电亲和性气体,具有对电场敏感独特的电离特性,使得其放电电压对不均匀电场较敏感,气体间隙的实际绝缘强度会显著低于理想状态下的预期值,因此进行电气设备绝缘设计时需要充分考虑不均匀电场的影响。

    电极表面粗糙是实际设备中形成不均匀电场的典型情况,使得电极表面局部电场发生畸变,产生整体上较均匀、局部不均匀的电场分布,需要获得导体电极表面的粗糙度控制值,为设备设计提供指导。目前国内外对C4F7N/CO2混合气体放电特性的研究仍未考虑电极表面状况的影响,亟需开展考虑粗糙度时C4F7N/CO2的放电特性研究。

    主要内容

    (1)C4F7N/CO2对不均匀电场敏感特性的理论分析

    计算得到了C4F7N/CO2和SF6气体的临界约化电场Ac和优异值M,结果列于表1。C4F7N占比20%时,C4F7N/CO2的Ac、M值均与SF6气体的数值相当。

    中国电科院颜湘莲特稿:新型混合气体对局部不均匀电场的敏感特性

    表1 C4F7N/CO2和SF6的Ac和M值计算结果

    建立单凸起粗糙度模型和流注放电判据,计算获得了考虑电极表面粗糙时在不同间距、气压下C4F7N/CO2的击穿电压,如图1所示,其中C4F7N占比10%。在相同粗糙度下,击穿电压偏离理想巴申曲线后,间隙距离越大,击穿电压越高;评估增大间隙距离d和提高气压p对绝缘强度的改善效果时,因电极表面粗糙的影响,对于相同pd,增大d更有利于增强绝缘强度。

    中国电科院颜湘莲特稿:新型混合气体对局部不均匀电场的敏感特性

    图1 C4F7N/CO2的击穿电压计算结果(粗糙度R为150 μm)

    (2)C4F7N/CO2在局部不均匀电场下的放电试验

    开展了C4F7N/CO2和SF6气体在不同间隙距离、气压、粗糙度下的放电试验,击穿电压Ub随pd的变化趋势如图2所示,其中C4F7N占比10%,可知Ub均随pd增大呈现线性增长趋势。

    中国电科院颜湘莲特稿:新型混合气体对局部不均匀电场的敏感特性

    图2 C4F7N/CO2和SF6的放电试验结果

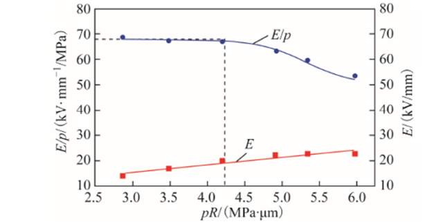
    利用Ub得到击穿场强E和约化击穿场强E/p,其随pR的变化见图3所示。当pR值较小时,C4F7N/CO2的E/p与临界约化电场Ac接近;随着pR值增大,E/p先保持不变,当pR达到临界值4.25MPa•μm,E/p再减小;与SF6气体相比,C4F7N/CO2的pR临界值大于SF6的临界值3.0MPa•μm,可见C4F7N占比10%的C4F7N/CO2对局部不均匀电场的敏感性优于SF6气体。

    中国电科院颜湘莲特稿:新型混合气体对局部不均匀电场的敏感特性

    图3 C4F7N/CO2的放电场强和约化放电场强 (10% C4F7N)

    (3)C4F7N/CO2的电极表面粗糙度控制值

    根据设备中电极表面粗糙度控制依据,计算了C4F7N/CO2和SF6气体中电极表面粗糙度控制值Rm随p的变化如图4所示,随着p增大,Rm迅速趋于减小,对粗糙度控制要求愈加严格。

    中国电科院颜湘莲特稿:新型混合气体对局部不均匀电场的敏感特性

    图4 C4F7N/CO2和SF6中的电极表面粗糙度控制值计算结果

    在保持现有SF6设备尺寸不变前提下,提高设备气压来达到相同绝缘强度,计算得到了C4F7N/CO2中的电极表面粗糙度控制值,见图5(RC4为C4F7N/CO2的粗糙度控制值,RSF6为SF6的粗糙度控制值,MC4为C4F7N/CO2的优异值)。C4F7N占比为4%~30%时,C4F7N/CO2中的粗糙度控制值与SF6气体中的控制值相当;当C4F7N占比低于4%时,C4F7N/CO2中的电极表面粗糙控制较SF6气体绝缘设备更为严格。

    中国电科院颜湘莲特稿:新型混合气体对局部不均匀电场的敏感特性

    图5 C4F7N/CO2的优异值和电极表面粗糙度控制值计算结果

    结论与展望

    本文在理论分析和试验设置中仅关注了工频电压作用下C4F7N/CO2混合气体在局部不均匀电场中的放电特性,暂未考虑冲击电压作用时带来的放电时延的影响,及更长间隙距离、更大范围的粗糙电极等其他因素的影响,均需进一步开展系统深入的研究,以完善考虑粗糙度影响的气体放电电压计算模型。

    引用本文

    颜湘莲, 郑宇, 黄河, 杨圆, 周文俊, 柏长宇. C4F7N/CO2混合气体对局部不均匀电场的敏感特性[J]. 电工技术学报, 2020, 35(1): 43-51. Yan Xianglian, Zheng Yu, Huang He, Yang Yuan, Zhou Wenjun, Bai changyu. Sensitivity of C4F7N/CO2 Gas Mixture to Partial Inhomogeneous Electric Field. Transactions of China Electrotechnical Society, 2020, 35(1): 43-51.