• 头条合肥工大任泰安:极对数组合形式对绕线转子无刷双馈电机的影响
    2020-10-21 作者:任泰安  |  来源:《电工技术学报》  |  点击率:
    分享到:
    导语本文对绕线转子无刷双馈电机定子上确定极对数分别为p1、p2的两套绕组,其极对数组合形式(选取p1 (p2)为功率绕组,p2 ( p1)为控制绕组)的选取提供了一种的理论依据。

    团队介绍

    合肥工大任泰安:极对数组合形式对绕线转子无刷双馈电机的影响

     

    任泰安,工学博士,合肥工业大学讲师,研究方向为新型特种电机、电磁场计算。曾主持和参与包含国家重点研发计划、国家自然科学基金、省自然科学基金等在内的纵横向科技项目8项,在IET、中国电机工程学报、电工技术学报等国内外学术刊物发表学术论文10余篇,授权国家发明专利2项。

    合肥工大任泰安:极对数组合形式对绕线转子无刷双馈电机的影响

     

    阚超豪,工学博士,合肥工业大学电气与自动化工程学院副教授,硕士生导师,主要研究方向为新型特种电机研制、电机电磁场计算、电机电器故障诊断等。作为负责人或主研参与20余项科研项目的研究,包括国家自然科学基金面上项目、省自然科学基金面上项目、国家重点研发计划项目子课题、国家重大仪器专项子课题,以及多项来自中科院合肥物质研究院的科研项目。在IEEE Transaction、IET、中国电机工程学报、电工技术学报等国内外学术刊物发表学术论文50余篇。

    导语

    本文对绕线转子无刷双馈电机定子上确定极对数分别为p1、p2的两套绕组,其极对数组合形式(选取p1 (p2)为功率绕组,p2 ( p1)为控制绕组)的选取提供了一种的理论依据。

    以绕线转子无刷双馈电机的等效电路为基础,研究空载和负载状态下转子电流和功率绕组侧输出相电压与控制绕组励磁电流之间的关系,以及负载状态下系统输出功率与控制绕组励磁电流之间的关系。所提出的方法对其它结构转子无刷双馈电机极对数组合形式的选取具有一定的参考价值。

    研究背景

     

    合肥工大任泰安:极对数组合形式对绕线转子无刷双馈电机的影响

     

    近年来,随着世界对绿色能源的日益提倡,风力发电已成为优先发展的新能源之一。交流励磁双馈发电机作为风力发电的主流发电机,结构上存在电刷、滑环等,发电系统的可靠性较低。无刷双馈电机在保留交流励磁双馈发电机优点的同时,取消了滑环装置,提高了系统的可靠性,减小了变频器所需的容量,降低了系统的成本。

    而无刷双馈电机定子上有两套极对数不同的绕组,其极对数组合形式的不同对电机性能的影响较大。因此,有必要利用无刷双馈电机的等效电路推导出极对数组合形式选取的理论依据,该理论也为提高电机系统的性能提供了一种新思路。

    论文方法及创新点

    下图给出了无刷双馈电机的每相等效电路,为保证研究的可信度,采用控制变量法保持控制绕组的励磁电流和功率绕组侧的负载不变,这里仅研究其发电机性能。

    合肥工大任泰安:极对数组合形式对绕线转子无刷双馈电机的影响

    无刷双馈电机的单相等效电路图

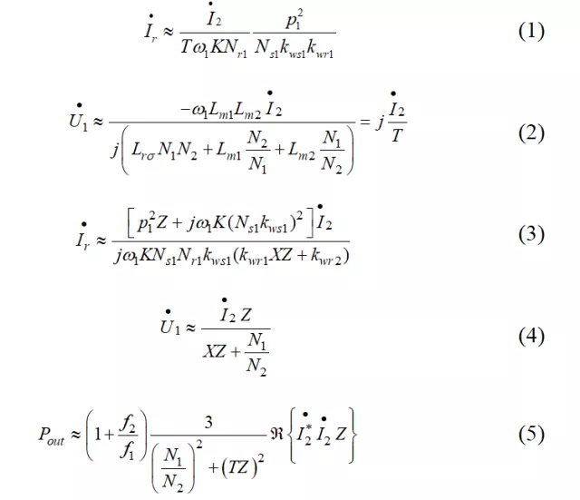
    基于图1所述的等效电路,通过推导和化简可分别得出空载状态下,转子电流和功率绕组侧输出相电压与控制绕组励磁电流之间的关系为式(1)、(2);负载状态下,转子电流和功率绕组侧输出相电压与控制绕组励磁电流之间的关系为式(3)、(4),系统输出功率与控制绕组励磁电流之间的关系为式(5)。

    合肥工大任泰安:极对数组合形式对绕线转子无刷双馈电机的影响

    公式(1)-(5)

    本文采用有限元法进行仿真研究,样机以 YZR315电机为参照,电机极对数为2/4,转子绕组采用5联等匝结构,定义极对数组合形式pp=2、pc=4为方案一,pp=4、pc=2为方案二。通过仿真与计算可得出空载状态下,转子转速为600r/min时,两种方案转子电流、功率绕组相电压与励磁电流之间的关系曲线如图1、2所示。

    合肥工大任泰安:极对数组合形式对绕线转子无刷双馈电机的影响

    图1

    合肥工大任泰安:极对数组合形式对绕线转子无刷双馈电机的影响

    图2

    从图1中可以看出随着励磁电流的增大,两种方案的转子电流均增大,与励磁电流基本成正比关系,且两种方案的计算结果与有限元仿真结果基本相同。

    由图2中可知,当励磁电流较小时,两种方案在同一励磁电流下的相电压仿真值均与计算值吻合较好;当随着励磁电流增大到一定程度时,由于电机空载特性的非线性,使得功率绕组侧输出电压增加较为缓慢,与计算值偏差会有所增加,对比两种方案可知,方案一的电机非线性程度较低,性能较好。

    不同负载情况下,两种方案转子电流与励磁电流的计算与仿真关系曲线如图3所示。对比图3(a)、(b)可知,方案二转子电流普遍高于方案一,且在负载电阻较大时相差倍数较高,负载电阻较小时相差倍数较小,两种方案的转子电流计算值与仿真值吻合较好,验证了理论推导的正确性。

    合肥工大任泰安:极对数组合形式对绕线转子无刷双馈电机的影响

    图3

    合肥工大任泰安:极对数组合形式对绕线转子无刷双馈电机的影响

    图4

    合肥工大任泰安:极对数组合形式对绕线转子无刷双馈电机的影响

    图5

    从图4中可以看出,两种方案负载电阻越小所需励磁电流越大,从方案二的功率绕组侧相电压与控制绕组侧励磁电流的关系曲线可以看出,负载电阻在100Ω到10Ω之间,功率绕组侧相电压与方案一相比相对较低,这是因为负载电阻较大时,电机可近似看成空载状态。

    而方案二的非线性较高,因此电压相对较低,此时功率绕组侧相电压逐渐增加,当负载电阻在10Ω附近时,方案二的功率绕组侧相电压达到最大值,根据理论推导的结果可知,当负载电阻和励磁电流保持不变时,功率绕组侧相电压随着有效匝比的减小而增大,方案二的有效匝比为0.89,方案一的有效匝比为1.13,因此功率绕组侧相电压有一定增加。

    然而由于方案二的转子电流有效值为15A,方案一的转子电流有效值仅为10.5A,方案二的磁场密度较大,因此功率绕组侧相电压与方案一相比较低,基本符合理论推导所述规律;而当负载电阻从10Ω到5Ω时,功率绕组侧相电压会逐渐减小,这是由于方案二的转子电流与方案一相比较大,电机饱和程度较高,导致铁心磁压降增加,功率绕组侧输出电压偏低。

    两种方案的系统输入和输出功率曲线如图5所示,从图中可以看出方案二的输入功率高于方案一,而输出功率低于方案一,这主要是由于方案二的转子电流较大,导致系统铜耗和铁耗较高,因此其效率偏低。图中计算值与仿真值相差较小,但是由于计算值忽略了功率绕组侧的漏阻抗,因此计算值会略高于仿真值。

    结论

    本文利用绕线式转子无刷双馈电机的等效电路,在给定两套定子绕组极对数分别为p1、p2情况下,对两种极对数组合形式(取p1对极为功率绕组、p2对极为控制绕组,或者p2对极为功率绕组、p1对极为控制绕组)电机的性能进行了研究,推导出空载和负载状态下转子电流和功率绕组侧输出相电压与控制绕组励磁电流之间的关系,以及负载状态下系统输出功率与控制绕组励磁电流之间的关系,并利用有限元法对2/4对极无刷双馈发电机在两种极对数组合情况下进行了数值计算及对比分析。

    结果表明选择极对数较小的绕组作为功率绕组的电机具有转子电流小、饱和程度低、运行范围广、功率绕组侧输出电压高和系统输出功率大等优点。

    引用本文

    任泰安, 阚超豪, 胡杨, 程源, 李响. 极对数组合形式线转子无刷双馈电机性能的影响[J]. 电工技术学报, 2020, 35(3): 509-519. Ren Taian, Kan Chaohao, Hu Yang, Cheng Yuan, Li Xiang. Influence of Pole-Pairs Combination on the Performance of Wound-Rotor Brushless Double-Fed Machine. Transactions of China Electrotechnical Society, 2020, 35(3): 509-519.